Promotional price valid on web orders only. Your contract pricing may differ. Interested in signing up for a dedicated account number?
Learn More
Learn More
Invitrogen™ BTNL9 Polyclonal Antibody

Rabbit Polyclonal Antibody
Supplier: Invitrogen™ PA543947
Description
Peptide sequence: EIRWFRSQTF NVVHLYQEQQ ELPGRQMPAF RNRTKLVKDD IAYGSVVLQL Sequence homology: Horse: 79%; Human: 100%.
The specific function of BTNL9 is not yet known.
Specifications
BTNL9 | |
Polyclonal | |
Unconjugated | |
BTNL9 | |
BTN3; BTN8; BTNL9; butyrophilin 3; butyrophilin like 9; butyrophilin-like 9; butyrophilin-like protein 9; UNQ1900/PRO4346; VDLS1900 | |
Rabbit | |
Affinity chromatography | |
RUO | |
153579 | |
-20°C, Avoid Freeze/Thaw Cycles | |
Liquid |
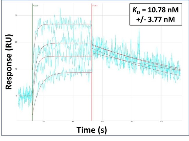
Western Blot, Surface Plasmon Resonance | |
0.5 mg/mL | |
PBS with 2% sucrose and 0.09% sodium azide | |
Q6UXG8 | |
BTNL9 | |
Synthetic peptide directed towards the N-terminal of human BTNL9 (aa 71-120). | |
100 μL | |
Primary | |
Human | |
Antibody | |
IgG |
Safety and Handling
WARNING: Cancer - www.P65Warnings.ca.gov
Product Content Correction
Your input is important to us. Please complete this form to provide feedback related to the content on this product.
Product Title
Spot an opportunity for improvement?Share a Content Correction