Promotional price valid on web orders only. Your contract pricing may differ. Interested in signing up for a dedicated account number?
Learn More
Learn More
Invitrogen™ PRKAR1B Polyclonal Antibody

Rabbit Polyclonal Antibody
Supplier: Invitrogen™ PA555392
Description
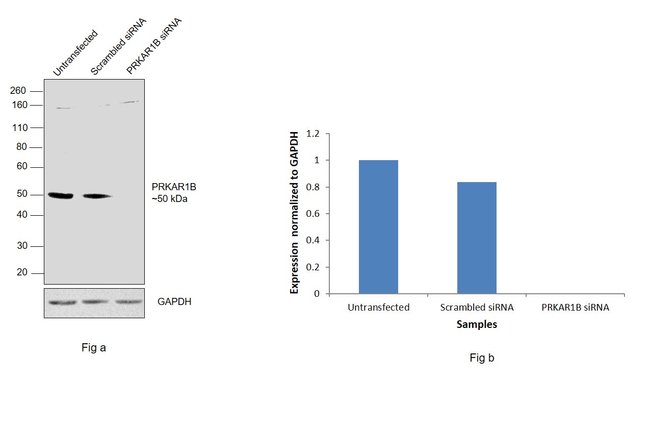
Immunogen sequence: QQVLKDCIVH LCISKPERPM KFLREHFEKL EKEENRQILA RQKSNSQSDS HDEEVSPT Highest antigen sequence identity to the following orthologs: Mouse - 86%, Rat - 60%.
The second messenger cyclic AMP (cAMP) mediates diverse cellular responses to external signals such as proliferation, ion transport, regulation of metabolism and gene transcription by activation of the cAMP-dependent protein kinase (cAPK or PKA). Activation of PKA occurs when cAMP binds to the two regulatory subunits of the tetrameric PKA holoenzyme resulting in release of active catalytic subunits. Three catalytic (C) subunits have been identified that each represent specific gene products. Activation of transcription upon elevation of cAMP levels results from translocation of PKA to the nucleus where it phosphorylates the transcrip- tion factor cAMP response element binding protein (CREB) on serine 133 which in turn leads to TFIIB binding to TATA-box-binding protein TBP1, thus linking phospho-CREB to the pol II transcription initiation complex.
Specifications
PRKAR1B | |
Polyclonal | |
Unconjugated | |
PRKAR1B | |
AI385716; cAMP dependent protein kinase, subunit type 1 beta; cAMP dependent regulatory type I beta subunit transcript 2; cAMP dependent regulatory type I beta subunit transcript 3; cAMP dependent regulatory type I beta subunit transcript 4; cAMP-dependent protein kinase type I-beta regulatory subunit; PRKAR1; PRKAR1B; protein kinase cAMP-dependent type I regulatory subunit beta; protein kinase, cAMP dependent regulatory, type I beta; protein kinase, cAMP dependent regulatory, type I, beta; protein kinase, cAMP-dependent, regulatory subunit type I beta; protein kinase, cAMP-dependent, regulatory, type I, beta; RGD1563094; RIbeta | |
Rabbit | |
Antigen Affinity Chromatography | |
RUO | |
5575 | |
Store at 4°C short term. For long term storage, store at -20°C, avoiding freeze/thaw cycles. | |
Liquid |
Immunohistochemistry (Paraffin), Western Blot | |
0.3 mg/mL | |
PBS with 40% glycerol and 0.02% sodium azide; pH 7.2 | |
P31321 | |
PRKAR1B | |
Recombinant protein corresponding to Human PRKAR1B. Recombinant protein control fragment (Product #RP-92833). | |
100 μL | |
Primary | |
Human | |
Antibody | |
IgG |
Product Content Correction
Your input is important to us. Please complete this form to provide feedback related to the content on this product.
Product Title
Spot an opportunity for improvement?Share a Content Correction