Learn More
Tocris Bioscience™ SJF 0628

Description
SJF 0661 negative control (Cat. No. 7464) also available.
PROTAC™ is a registered trademark of Arvinas Operations, Inc., and is used under license.
Specifications
Specifications
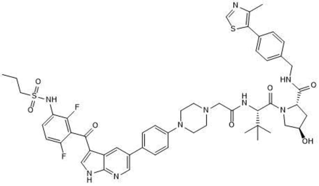
| Chemical Name or Material | (2 S,4 R)-1-(-2-(2-(4-(4-(3-(2,6-Difluoro-3-(propylsulfonamido)benzoyl)-1 H-pyrrolo[2,3-b]pyridin-5-yl)phenyl)piperazin-1-yl)acetamido)-3,3-dimethylbutanoyl)-4-hydroxy-N-(4-(4-methylthiazol-5-yl)benzyl)pyrrolidine-2-carboxamide |
| CAS | 2413035-41-1 |
| Quantity | 5 mg |
| Target | Active Degraders |
| Molecular Formula | C51H57F2N9O7S2 |
| Purity | 0.98 |
By clicking Submit, you acknowledge that you may be contacted by Fisher Scientific in regards to the feedback you have provided in this form. We will not share your information for any other purposes. All contact information provided shall also be maintained in accordance with our Privacy Policy.