Choose the brand aligned with your industry so we can best serve your needs.
For researchers, scientists, and technical professionals: Your one-stop shop for the complete range of laboratory, production, and safety products and services.
Cocktails, tablets, capsules, and individual purified formulations of protease inhibitors and phosphatase inhibitors designed to protect proteins from degradation during cell lysis and extraction.
The Apoptosis Activator III, Embelin, also referenced under CAS 550-24-3, controls the biological activity of Apoptosis. This small molecule/inhibitor is primarily used for Cancer applications.
A cell-permeable compound that increases intralysosomal pH and impairs autophagic degradation process. Suppresses proliferation of human dermal fibroblasts (IC50 = 30 μM).
A cell permeable acetylpiperazine derivative compound that acts as a selective and reversible inhibitor of lysophospholipase 1 (LYPLA1; IC50 = 840 nM, Ki = 300nM) without affecting the activity of LYPLA2 and 25 other serine hydrolases in mouse BW5147 T cell hydridoma pr
ALLN, CAS 110044-82-1, is a cell-permeable inhibitor of calpain I (Ki = 190 nM), calpain II (Ki = 220 nM), cathepsin B (Ki = 150 nM), and cathepsin L (Ki = 500 pM).
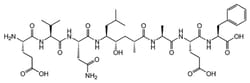
An internally quenched fluorogenic 11-mer peptide that acts as a sensitive and selective substrate for cathepsins D and E, but not cathepsins B, H, or L .
Cell permeable. Inhibits the induction of NOS activity in rat alveolar macrophages. Prevents apoptosis in human HL-60 cells and thymocytes, but induces apoptosis in human and rat smooth muscle cells.
The GSK-3β Inhibitor I, also referenced under CAS 327036-89-5, controls the biological activity of GSK-3β. This small molecule/inhibitor is primarily used for Phosphorylation & Dephosphorylation applications.