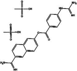
CAS: 82956-11-4 Molecular Formula: C21H25N5O8S2 Molecular Weight (g/mol): 539.58 MDL Number: MFCD00941430 InChI Key: SRXKIZXIRHMPFW-UHFFFAOYSA-N Synonym: nafamostat mesylate,futhan,nafamostat mesilate,nafamstat mesilate,6-amidino-2-naphthyl 4-guanidino-benzoate dimethanesulphonate,6-amidino-2-naphthyl-4-guanidinobenzoate dimethanesulfonate,nafamostat mesylate fut-175,nafamstatmesilate,ronastat tn PubChem CID: 5311180 IUPAC Name: amino({[4-({[6-(azaniumylmethanimidoyl)naphthalen-2-yl]oxy}carbonyl)phenyl]imino})methanaminium dimethanesulfonate SMILES: CS([O-])(=O)=O.CS([O-])(=O)=O.NC([NH3+])=NC1=CC=C(C=C1)C(=O)OC1=CC=C2C=C(C=CC2=C1)C([NH3+])=N