Choose the brand aligned with your industry so we can best serve your needs.
For researchers, scientists, and technical professionals: Your one-stop shop for the complete range of laboratory, production, and safety products and services.
Fatty acid diglycerides with a phosphatidyl ester attached to the terminal carbon. The terminal ester groups are mainly ethanolamine, choline, serine, or inositol. GPLs are highly amphiphilic and are normally components of cellular or vesicle membranes.
The phospholipid, Texas Red™ 1,2-dihexadecanoyl-sn-glycero-3-phosphoethanolamine, triethylammonium salt (Texas Red™ DHPE) is labeled on the head group with the bright, red-fluorescent Texas Red™ dye.
Fisher Scientific Edge Order by 2 p.m. for same-day shipping. Learn More
Encompass Procurement Services Non-distribution item offered as a customer accommodation; additional freight charges may apply. Learn More
Small and Specialty Supplier Partner Small and/or specialty supplier based on Federal laws and SBA requirements. Learn More
Texas Red DHPE is a phospholipid that is labeled on the head group with the bright red-fluorescent Texas Red dye excitation/emission maxima 595/615 nm. This catalog is for 1 mg.
Fisher Scientific Edge Order by 2 p.m. for same-day shipping. Learn More
Encompass Procurement Services Non-distribution item offered as a customer accommodation; additional freight charges may apply. Learn More
Small and Specialty Supplier Partner Small and/or specialty supplier based on Federal laws and SBA requirements. Learn More
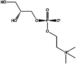
sn-Glycero-3-phosphocholine (CAS 28319-77-9) also known as alpha-GPC or choline alfoscerate is a naturally occurring choline compound found in the brain and mammalian milk It serves as a precursor to acetylcholine a key neurotransmitter involved in cognitive processes by efficiently crossing the blood-brain barrier and supplying choline for neurotransmitter synthesis Preclinical and clinical research has examined its potential to enhance cognitive function particularly in neurodegenerative conditions such as Alzheimer s disease and vascular dementia Clinical studies have reported improved cognitive recovery in post-stroke and dementia patients following alpha-GPC administration supporting its utility in neuropharmacology and cognitive disorder research
Encompass Procurement Services Non-distribution item offered as a customer accommodation; additional freight charges may apply. Learn More
A triacylglycerol containing heneicosanoic acid groups at the sn-1, sn-2, and sn-3 positions; has been used as an internal standard for the quantification of fatty acids in human breast milk samples and triacylglycerols in rat heart
Encompass Procurement Services Non-distribution item offered as a customer accommodation; additional freight charges may apply. Learn More
Small and Specialty Supplier Partner Small and/or specialty supplier based on Federal laws and SBA requirements. Learn More
DLPC (CAS 18194-25-7) is a synthetic ligand that functions as an agonist of the orphan nuclear receptor liver receptor homolog-1 (LRH-1) LRH-1 is involved in the regulation of bile acid synthesis and through this pathway it modulates glucose and lipid metabolism In cell-based assays DLPC selectively activates human and murine LRH-1 without affecting other nuclear receptors such as FXR CAR PXR or PPAR isoforms DLPC has been shown to induce transcription of genes involved in bile acid biosynthesis and metabolism such as CYP8B1 and modulate promoters like Shp and Oct4 in vitro In murine models DLPC administration increases enzymes for bile acid synthesis reduces hepatic triglycerides and blood glucose and improves glucose homeostasis DLPC is thus a valuable chemical probe for studying LRH-1 function and metabolic regulation in research settings
Encompass Procurement Services Non-distribution item offered as a customer accommodation; additional freight charges may apply. Learn More
Small and Specialty Supplier Partner Small and/or specialty supplier based on Federal laws and SBA requirements. Learn More
sn-Glycero-3-phosphocholine (Standard) is an analytical standard intended for research and analytical applications. It functions as a precursor in the biosynthesis of brain phospholipids, increasing the bioavailability of choline in nervous tissue. This compound demonstrates significant effects on cognitive function with a good safety profile and tolerability, and is effective in the treatment of Alzheimer's disease and dementia.
Intended for research and analytical applications.
Acts as a precursor in the biosynthesis of brain phospholipids.
Increases the bioavailability of choline in nervous tissue.
Demonstrates significant effects on cognitive function with good safety and tolerability.
Effective in the treatment of Alzheimer's disease and dementia.
Commonly used in qualitative, quantitative, and methodological research experiments.
Suitable for use in HPLC, GC, and MS applications.
Encompass Procurement Services Non-distribution item offered as a customer accommodation; additional freight charges may apply. Learn More
Small and Specialty Supplier Partner Small and/or specialty supplier based on Federal laws and SBA requirements. Learn More
sn-Glycero-3-phosphocholine (Choline Alfoscerate) is a crucial precursor in the biosynthesis of brain phospholipids, enhancing choline bioavailability in nervous tissue. This compound has demonstrated significant effects on cognitive function, offering a good safety profile and tolerability, and is effective in the treatment of Alzheimer's disease and dementia.
Precursor in brain phospholipid biosynthesis
Increases choline bioavailability
Supports cognitive function
Effective in treating Alzheimer's disease and dementia
Facilitates learning and memory
Improves brain transduction mechanisms
Encompass Procurement Services Non-distribution item offered as a customer accommodation; additional freight charges may apply. Learn More