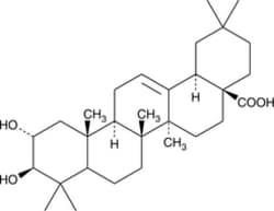
Quinovic acid is a triterpene that has demonstrated the ability to mitigate Amyloid-β burden, p53 expression, and cholesterol accumulation. It achieves this by deterring oxidative stress through the upregulation of the Nrf2/HO-1 pathway. Additionally, Quinovic acid can induce apoptosis in cancer cells by upregulating death receptor 5 (DR5). It is used in research concerning cancer, inflammation, metabolic, and neurological diseases, including lung cancer and Alzheimer's disease (AD).
- Ameliorates Amyloid-β burden, p53 expression, and cholesterol accumulation.
- Deters oxidative stress by upregulating the Nrf2/HO-1 pathway.
- Induces apoptosis in cancer cells via upregulation of death receptor 5 (DR5).
- Applicable for research in various disease areas such as cancer (e.g., lung cancer), inflammation, metabolic, and neurological diseases (e.g., Alzheimer's disease).