Choose the brand aligned with your industry so we can best serve your needs.
For researchers, scientists, and technical professionals: Your one-stop shop for the complete range of laboratory, production, and safety products and services.
Organic compounds that consist of benzoic acid with an additional carboxylic acid substitution, both groups are located in adjacent carbon atoms; includes compounds that are directly derived from phthalic acid.
Filtered Search Results
Products from some of our suppliers do not display in filtered search results. Please
clear all filters
to see these products.
Small and Specialty Supplier Partner Small and/or specialty supplier based on Federal laws and SBA requirements. Learn More
Terephthalic acid is an isomer and a precursor of polyester PET, used in clothing and plastics. It can also be utilized to build skin tumor models and promote excessive cell proliferation by disrupting the p16-cyclin D1/Cdk4-Rb cell cycle regulatory pathway. In vivo, it can lead to bladder stone formation in animal models, particularly in weanling mice at higher doses.
Isomer and precursor of polyester PET
Used to build skin tumor models
Promotes excessive cell proliferation
Induces skin tumor formation
Metabolized to form calcium terephthalate, potentially leading to bladder stone formation
Encompass Procurement Services Non-distribution item offered as a customer accommodation; additional freight charges may apply. Learn More
Small and Specialty Supplier Partner Small and/or specialty supplier based on Federal laws and SBA requirements. Learn More
Disodium 5'-inosinate is a nucleotide-based umami agent. It binds to umami receptors and stimulates taste nerves, leading to the perception of umami. Additionally, it has been observed to produce transient behavioral excitement in mice.
Nucleotide-based umami agent
Binds to umami receptors and stimulates taste nerves
Produces transient behavioral excitement in mice
Encompass Procurement Services Non-distribution item offered as a customer accommodation; additional freight charges may apply. Learn More
Small and Specialty Supplier Partner Small and/or specialty supplier based on Federal laws and SBA requirements. Learn More
Terephthalic acid is an isomer and precursor of polyester PET, widely used in textiles and plastics. It is also utilized in biological research for developing skin tumor models. This compound promotes cell proliferation and can induce skin tumor formation by interfering with the p16-cyclin D1/Cdk4-Rb cell cycle regulatory pathway.
Isomer and precursor of polyester PET
Used in clothing and plastics
Can be used to build skin tumor models
Promotes excessive cell proliferation
Induces skin tumor formation
May lead to bladder stone formation at higher doses
Encompass Procurement Services Non-distribution item offered as a customer accommodation; additional freight charges may apply. Learn More
Small and Specialty Supplier Partner Small and/or specialty supplier based on Federal laws and SBA requirements. Learn More
Calcium disodium edetate hydrate is a research-grade chelating reagent used to bind divalent metal ions in biochemical and toxicology studies. Supplied as a solid, it is commonly used for metal-chelation experiments, sample stabilization, and preparation of buffer solutions in life science research.
High purity (98.0%) suitable for research applications.
Solid form for easy weighing and accurate dosing.
Effective chelation of divalent metal ions such as lead and cadmium.
Compatible with aqueous buffers and typical laboratory solvents.
Store sealed, away from moisture and light; in solution: -80°C (6 months) or -20°C (1 month).
Encompass Procurement Services Non-distribution item offered as a customer accommodation; additional freight charges may apply. Learn More
Small and Specialty Supplier Partner Small and/or specialty supplier based on Federal laws and SBA requirements. Learn More
Terephthalic acid is an isomer and a precursor of polyester PET, which can be used to make clothing and plastics. It can also be used to build skin tumor models.
Isomer and precursor of polyester PET.
Can be used to build skin tumor models.
Can promote excessive cell proliferation and induce skin tumor formation by disrupting the p16-cyclin D1/Cdk4-Rb cell cycle regulatory pathway.
In animal modeling, it can create skin tumor models.
Metabolized in the body to form calcium terephthalate or calcium hydrogen terephthalate, leading to oversaturation in the urine and promoting the formation of bladder stones.
Encompass Procurement Services Non-distribution item offered as a customer accommodation; additional freight charges may apply. Learn More
Small and Specialty Supplier Partner Small and/or specialty supplier based on Federal laws and SBA requirements. Learn More
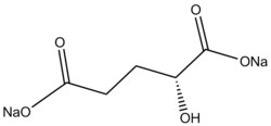
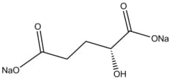
Disodium (R)-2-Hydroxyglutarate (CAS 103404-90-6) is an enantiomer of 2-hydroxyglutarate that functions as an inhibitor of ATP synthase a rotary enzyme complex critical for ATP production via oxidative phosphorylation Studies have shown that (R)-2-hydroxyglutarate accumulates in human cancers harboring IDH1 or IDH2 mutations where it suppresses ATP synthase activity leading to tumor cell growth arrest and cell death particularly under glucose-limited conditions In IDH-mutant glioma cells elevated (R)-2-hydroxyglutarate levels reduce oxygen consumption linked to ATP synthase This molecule is used to investigate metabolic vulnerabilities in malignancies with altered 2-hydroxyglutarate metabolism and the role of ATP synthase in cancer cell survival
Encompass Procurement Services Non-distribution item offered as a customer accommodation; additional freight charges may apply. Learn More
Small and Specialty Supplier Partner Small and/or specialty supplier based on Federal laws and SBA requirements. Learn More
Disodium (R)-2-Hydroxyglutarate (CAS 103404-90-6) is an enantiomer of 2-hydroxyglutarate that functions as an inhibitor of ATP synthase a rotary enzyme complex critical for ATP production via oxidative phosphorylation Studies have shown that (R)-2-hydroxyglutarate accumulates in human cancers harboring IDH1 or IDH2 mutations where it suppresses ATP synthase activity leading to tumor cell growth arrest and cell death particularly under glucose-limited conditions In IDH-mutant glioma cells elevated (R)-2-hydroxyglutarate levels reduce oxygen consumption linked to ATP synthase This molecule is used to investigate metabolic vulnerabilities in malignancies with altered 2-hydroxyglutarate metabolism and the role of ATP synthase in cancer cell survival
Encompass Procurement Services Non-distribution item offered as a customer accommodation; additional freight charges may apply. Learn More
Small and Specialty Supplier Partner Small and/or specialty supplier based on Federal laws and SBA requirements. Learn More
Disodium (R)-2-Hydroxyglutarate (CAS 103404-90-6) is an enantiomer of 2-hydroxyglutarate that functions as an inhibitor of ATP synthase a rotary enzyme complex critical for ATP production via oxidative phosphorylation Studies have shown that (R)-2-hydroxyglutarate accumulates in human cancers harboring IDH1 or IDH2 mutations where it suppresses ATP synthase activity leading to tumor cell growth arrest and cell death particularly under glucose-limited conditions In IDH-mutant glioma cells elevated (R)-2-hydroxyglutarate levels reduce oxygen consumption linked to ATP synthase This molecule is used to investigate metabolic vulnerabilities in malignancies with altered 2-hydroxyglutarate metabolism and the role of ATP synthase in cancer cell survival
Encompass Procurement Services Non-distribution item offered as a customer accommodation; additional freight charges may apply. Learn More
Small and Specialty Supplier Partner Small and/or specialty supplier based on Federal laws and SBA requirements. Learn More
Sulbenicillin disodium is the disodium salt of Sulbenicillin. Sulbenicillin is a Penicillin antibiotic that exhibits antibacterial activity against various mucoid and non-mucoid strains of Pseudomonas aeruginosa.
Purity: 98.84%
Molecular Weight: 458.42
Formula: C16H16N2Na2O7S2
Appearance: Solid
Color: White to off-white
Storage: 4°C, sealed storage, away from moisture
In-solvent storage: -80°C for 6 months or -20°C for 1 month, sealed and away from moisture
Solubility in H2O: 250 mg/mL (requires sonication)
Solubility in PBS: 100 mg/mL (clear solution; requires sonication)
Encompass Procurement Services Non-distribution item offered as a customer accommodation; additional freight charges may apply. Learn More
Small and Specialty Supplier Partner Small and/or specialty supplier based on Federal laws and SBA requirements. Learn More
Terephthalic acid is an isomer and a precursor of polyester PET, which can be used to make clothing and plastics. It can also be utilized to build skin tumor models.
Can be used in animal modeling to create skin tumor models.
It is metabolized in the body to form calcium terephthalate or calcium hydrogen terephthalate, which can lead to bladder stone formation.
The lithogenic effect is more pronounced in weanling mice at higher doses.
Promotes excessive cell proliferation and induces skin tumor formation by disrupting the p16-cyclin D1/Cdk4-Rb cell cycle regulatory pathway.
Specific modeling methods for skin tumor induction involve topical application in C57BL/6 mice.
Encompass Procurement Services Non-distribution item offered as a customer accommodation; additional freight charges may apply. Learn More
Small and Specialty Supplier Partner Small and/or specialty supplier based on Federal laws and SBA requirements. Learn More
Fosbretabulin disodium is a tubulin destabilizing agent and a Combretastatin A4 proagent. It selectively targets endothelial cells, leading to the regression of nascent tumor neovessels, reduced tumor blood flow, and central tumor necrosis. This compound has demonstrated inhibitory effects on the growth of various cancer cell lines and increases mean arterial blood pressure while decreasing tumor blood flow in vivo.
Tubulin destabilizing agent
Combretastatin A4 proagent
Selectively targets endothelial cells
Induces regression of nascent tumor neovessels
Reduces tumor blood flow
Causes central tumor necrosis
Inhibits growth of leukemia P-388, pancreas BXPC-3, neuroblast SK-N-SH, thyroid SW1736, lung-NSC NCI-H460, prostate DU-145, and pharynx FADU
Increases mean arterial blood pressure in vivo
Decreases tumor blood flow in vivo
Encompass Procurement Services Non-distribution item offered as a customer accommodation; additional freight charges may apply. Learn More