Choose the brand aligned with your industry so we can best serve your needs.
For researchers, scientists, and technical professionals: Your one-stop shop for the complete range of laboratory, production, and safety products and services.
Various organic compounds consisting of carbon, hydrogen, and oxygen atoms that are found in foods and living tissues; typically broken down to release energy; includes sugars, sugar alcohols, sugar acids and derivatives, glycosyl compounds, and more.
Small and Specialty Supplier Partner Small and/or specialty supplier based on Federal laws and SBA requirements. Learn More
Sar-[D-Phe8]-des-Arg9-bradykinin is a synthetic peptide agonist of the bradykinin B1 receptor used as a pharmacological tool in vascular and smooth muscle research. It is supplied as a lyophilized solid with high purity for in vitro bioassays.
Selective bradykinin B1 receptor agonist used in receptor pharmacology.
Lyophilized white solid suitable for in vitro studies.
High purity (≈99.96%) for reproducible assay results.
Resistant to aminopeptidase cleavage, increasing stability in biological assays.
Supplied as a 5 mg vial for assay development and small-scale experiments.
Encompass Procurement Services Non-distribution item offered as a customer accommodation; additional freight charges may apply. Learn More
Small and Specialty Supplier Partner Small and/or specialty supplier based on Federal laws and SBA requirements. Learn More
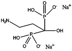
Pamidronate Disodium (CAS 57248-88-1) is a small-molecule inhibitor targeting osteoclastic bone resorption It is designed to inhibit osteoclast-mediated bone degradation thereby regulating bone metabolism Pamidronate Disodium exerts its biological activity primarily through selective binding to hydroxyapatite crystals in bone followed by suppression of osteoclast activity and induction of osteoclast apoptosis In in vitro studies Pamidronate Disodium demonstrates inhibitory activity on osteoclastic bone resorption with an IC50 in the micromolar range (varying according to experimental conditions) Based on these pharmacological properties Pamidronate Disodium holds research potential in studies of bone density disorders osteoporosis hypercalcemia of malignancy and metastatic bone diseases
Encompass Procurement Services Non-distribution item offered as a customer accommodation; additional freight charges may apply. Learn More
Small and Specialty Supplier Partner Small and/or specialty supplier based on Federal laws and SBA requirements. Learn More
Glucose anhydrous analytical grade Assay (titr.)Water (loss on drying) min. 99.5 %max. 0.5 % Size - 1KG Storage Conditions - +15 °C TO +30 °C Catalog Number - 22700.02 CAS 50-99-7
Encompass Procurement Services Non-distribution item offered as a customer accommodation; additional freight charges may apply. Learn More